| Поможем подобрать насос, звоните +7(499)399-36-08 или пишите shop@baymart.ru |
Скважинный насос
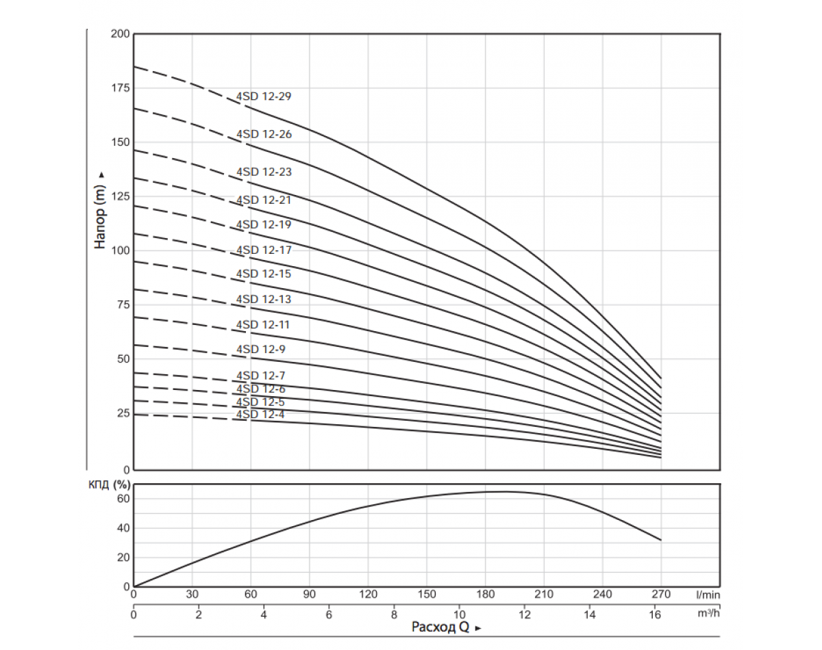
HEISSKRAFT 4SD 12/26
4 дюйма, 7.5 кВт трехфазный
Напор 166 метров
Производительность 16.2 куб.м\час
Насос центробежный скважинный HEISSKRAFT серии SD предназначен для подъема и подачи воды из артезианских и обычных скважин диаметром не менее 110 мм, создание давления в системе автоматического водоснабжения, наполнение емкостей.
Устройство скважинного насоса:
Скважинный насос HEISSKRAFT 4SD 12/26 полностью изготавливается из нержавеющей стали марки AISI 304, рабочие колеса сделаны из специального термостойкого пластика, от попадания крупных частиц в устройство насосной части имеется металлическая фильтрующая сетка.
Возможные варианты подключения к электросети однофазный 230 и трехфазный 400 В, 50Гц.
Максимальная температура перекачиваемой жидкости +35C.
У насоса встроенный обратный клапан, (специалисты Baymart обязательно рекомендуют ставить магистральный внешний обратный клапан!)
Преимущества:
Максимальная глубина погружения под зеркало воды до 80 метров!
Подключение:
Насос центробежный скважинный комплектуется 4-х жильным электро-кабелем длинной два метра и внешним пусковым конденсатором (входит в комплект).
От насоса до пускового конденсатора идет 4-х жильный электро-кабель, после пускового конденсатора подключение обычное 3-х жильное подключение на 230В
Гарантия 2 года
| Технические характеристики | |
| Подача (м³/ч) | 16.2 м³\час |
| Напор (м↑) | 166 метров |
| Мощность (кВт) | 7500 Вт |
| Сеть (V) | 380/400 В (трехфазный) |
| Размеры Д х Ш х В | 100 х 100 х 2307 |
| Присоединительные размеры | 2" (50 мм) ВР |
| Глубина всасывания \ погружения (метров) | 80 метров |
| Механизм насоса | Центробежный |
| Погружной \ поверхностный | Погружной |
| Защита от сухого хода (да\нет) | НЕТ |
| Материал рабочего колеса | Пластик |
| Длинна кабеля (метров) | 2 метра |
| Рабочая температура жидкости °C | +35 C |
| Материал корпуса | Нержавеющая сталь |
| Качество перекачиваемой жидкости | Чистая |
| Тип насоса | Скважинный насос |
| Гарантия | 2 года |
| Поплавковый выключатель | НЕТ |
| Тип оборудования | Насос |
| Диаметр насоса (дюймов/мм) | 4" / 99мм |
Теги: Скважинный насос
Насос скважинный HEISSKRAFT 4SD 12/26
-
Стоимость по запросу
- Запросить счет
Уточнить по наличию Запросить счет
- 4 дюйма
- Производитель: HEISSKRAFT
- Код Товара: 74124115
- Вес: 40.1 кг
СКИДКИ МОНТАЖНЫМ, ОПТОВЫМ КОМПАНИЯМ!
Заказать расчет, купить Телефон +7(499)399-36-08 Почта shop@baymart.ru Мы будем рады Вам помочь! |
| Подбор аналогов Grundfos,KSB,Wilo |
Похожие товары
Стоимость по запросу
74034128
HEISSKRAFT












